気楽に語ろう☆ 創価学会非活のブログ☆

創価学会の元非活メンバー(現在は退会済み)による語り

日蓮の真言に対する態度。

 
 
いつもみなさん、ありがとうございます。
 
 
 
さて日蓮はかつて真言を「法華真言」としており、法華と真言を同格と捉えていました。
 
「法華真言の用例」
 
ここからもわかるように、日蓮真言批判に傾斜するのは概ね佐渡以降のことであり、佐渡以前は念仏批判を中心としていました。事実『立正安国論』にも「法華真言」の用例は見られます。
 
 
ただ日蓮は後に真言を批判するようになるのですが、その批判には現代の歴史学的視点から見て首を傾げてしまうような邪推が見られることも事実です。
例えば『聖密房御書』(建治3年、真蹟身延曽存)の次のような一文です。

 

真言宗の名は天竺にありや・否や大なる不審なるべし、但真言経にてありけるを善無畏等の宗の名を漢土にして付けたりけるか・よくよくしるべし」
日蓮『聖密房御書』創価学会旧版御書全集897ページ)

 
日蓮はここで善無畏が中国で勝手に真言宗という名をつけたのではないかと述べていますが、そんな事実は存在しません。単なる邪推です。
 
 
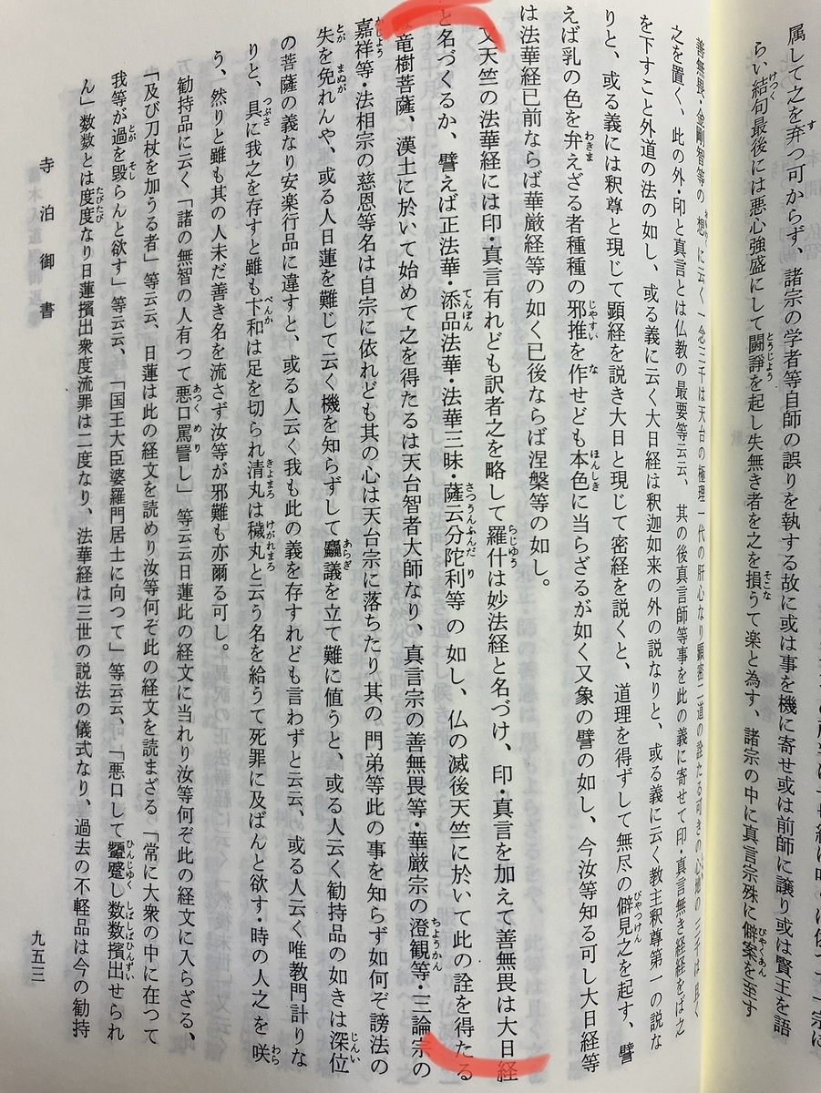
また『寺泊御書』(文永8年、真蹟中山蔵)には次のようにも書かれています。
 
「又天竺の法華経には印・真言有れども訳者之を略して羅什は妙法経と名づけ、印・真言を加えて善無畏は大日経と名づくるか」
日蓮『寺泊御書』同953ページ)

 
日蓮はここで「インドの法華経に印と真言があったけれど鳩摩羅什はこれを略して法華経とし、善無畏はこれらを加えて大日経を作ったのではないか」と述べていますが、そんな事実は全くありません。邪推どころか、もはや作り話のレベルです。
 
 
思うに日蓮という人の教義は、相当程度に真言の影響を受けています。それは曼荼羅本尊に梵字不動明王愛染明王を書くことからもわかります。そもそも不動明王愛染明王法華経には出てこない筈です。
また日蓮比叡山修学期の若い頃に、真言を学んでおり、例えば真言覚鑁の『五輪九字妙秘密義釈』を書写しています。この日蓮真蹟は中山法華経寺に現存します。

 
また金沢文庫には『理性院血脈』という文書が存在し、この中に日蓮大日如来から数えて25代目の血脈を相承していることが記録されています。この文書によるなら日蓮真言宗醍醐寺理性院の血脈を受けていたことになり、日蓮という人物が早くから真言を摂取していたことが推察できます。

 
また保田妙本寺には『不動愛染感見記』の日蓮真蹟が現存しており、日蓮が自身の筆で「大日如来から23代目の血脈を受けた」ことが記録されています。

日蓮真言に対する態度は、やや屈折していまして、真言を摂取してその影響を受けつつも、国家調伏の祈祷は法華経に限るとして後年に真言を批判するように、ややアンビバレントなものだと言えるでしょう。